همراهان عزیز سایت بخون سلام. یاشگین ولیپور هستم و امروز با ارائه مقاله نمونه سوالات نوبت اول فیزیک یازدهم ریاضی با جواب در کنار شما خواهم بود. در این مقاله 6 سری کامل از نمونه سوالات فیزیک 2 یازدهم رشته ریاضی را بهصورت فایل PDF برای شما عزیزان قرار دادهام. خاطر نشان میشوم که در ابتدا یک نمونه از سوالات ترم اول فیزیک یازدهم ریاضی را بهصورت تصویر بررسی خواهیم کرد. همچنین در پایان مقاله از جدول قرار داده شده میتوانید PDF نمونه سوالات را کاملا رایگان دانلود و استفاده کنید.
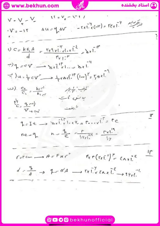
نمونه سوال نوبت اول فیزیک یازدهم ریاضی با جواب استاد بخشنده





- نمونه سوالات نوبت اول حسابان یازدهم ریاضی با جواب
- نمونه سوالات نوبت اول آمار و احتمال یازدهم با جواب
- نمونه سوال فصل دوم شیمی یازدهم
- نمونه سوال عربی یازدهم نوبت اول با جواب
- نمونه سوال شیمی یازدهم نوبت اول با جواب
- نمونه سوال نوبت اول زبان یازدهم با جواب
بخش دانلود PDF نمونه سوالات نوبت اول فیزیک یازدهم ریاضی با جواب
| نمونه سوال | تهیه و تنظیم | لینک دانلود |
|---|---|---|
| دانلود نمونه سوال فیزیک یازدهم ریاضی نوبت اول با جواب | استاد بخشنده | دانلود فایل |
| نمونه سوال ترم اول فیزیک یازدهم ریاضی با جواب | استاد مرسده آموزگار | دانلود فایل |
| نمونه سوال امتحانی ترم اول فیزیک یازدهم ریاضی | استاد علی پور | دانلود فایل |
| دانلود نمونه سوال امتحانی درس فیزیک 2 یازدهم ریاضی | استان خراسان | دانلود فایل |
| نمونه سوال فیزیک 2 یازدهم ریاضی نوبت اول دی ماه با جواب | استان قم | دانلود فایل |
| نمونه سوال امتحانی فیزیک یازدهم ریاضی نوبت اول با پاسخ | شهرستان ملایر | دانلود فایل |
همراهان همیشگی سایت بخون به پایان مقاله نمونه سوالات فیزیک یازدهم ریاضی با جواب رسیدیم و از جدول بالا میتوانید نمونه سوالات را به سادگی دانلود و استفاده کنید؛ همچنین برای دسترسی به سایر بخشهای سایت و محتواهای فیزیک یازدهم میتوانید از لینکهای زیر استفاده کنید:






